#NOIP2011S. NOIP 2011 提高组初赛试题
NOIP 2011 提高组初赛试题
- 在二进制下,。{{ select(1) }}
- 字符
A的 ASCII 码为十六进制 ,则字符Z的 ASCII 码为十六进制的( )。{{ select(2) }}
- 视具体的计算机而定
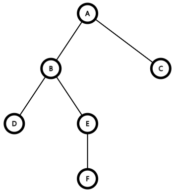
- 下图是一棵二叉树,它的先序遍历是( )。{{ select(3) }}

- 寄存器是( )的重要组成部分。{{ select(4) }}
- 硬盘
- 高速缓存
- 内存
- 中央处理器(CPU)
- 广度优先搜索时,需要用到的数据结构是( )。{{ select(5) }}
- 链表
- 队列
- 栈
- 散列表
- 在使用高级语言编写程序时,一般提到的“空间复杂度”中的空间是指( )。{{ select(6) }}
- 程序运行时理论上所占的内存空间
- 程序运行时理论上所占的数组空间
- 程序运行时理论上所占的硬盘空间
- 程序源文件理论上所占的硬盘空间
- 应用快速排序的分治思想,可以实现一个求第 大数的程序。假定不考虑极端的最坏情况,理论上可以实现的最低的算法时间复杂度为( )。{{ select(7) }}
- 为解决 web 应用中的不兼容问题,保障信息的顺利流通,( )制定了一系列标准,涉及 HTML、XML、CSS 等,并建议开发者遵循。{{ select(8) }}
- 微软
- 美国计算机协会(ACM)
- 联合国教科文组织
- 万维网联盟(W3C)
- 体育课的铃声响了,同学们都陆续的奔向操场,按老师的要求从高到低站成一排。每个同学按顺序来到操场时,都从排尾走到排头,找到第一个比自己高的同学,并站在他的后面。这种站队的方法类似于( )算法。{{ select(9) }}
- 快速排序
- 插入排序
- 冒泡排序
- 归并排序
- 1956年( )授予肖克利(William Shockley)、巴丁(John Bardeen)和布拉顿(Walter Brattain){{ select(10) }}
- 诺贝尔物理学奖
- 约翰·冯·诺依曼奖
- 图灵奖
- 高德纳奖 (Donald E. Knuth Prize)
- 如果根结点的深度记为 ,则一棵恰有 个叶子结点的二叉树的深度可能是( )。{{ multiselect(11) }}
- 在布尔逻辑中,逻辑“或”的性质有( )。{{ multiselect(12) }}
- 交换律:
- 结合律:
- 幂等律:
- 有界律:
- 一个正整数在十六进制下有 位,则它在二进制下可能有( )位。{{ multiselect(13) }}
- 汇编语言( )。{{ multiselect(14) }}
- 是一种与具体硬件无关的程序设计语言
- 在编写复杂程序时,相对于高级语言而言代码量大,且不易调试
- 可以直接访问寄存器、内存单元、I/O 端口
- 随着高级语言的诞生,如今已被完全淘汰,不再使用
- 现有一段文言文,要通过二进制哈夫曼编码进行压缩。简单起见,假设这段文言文只由 个汉字“之”、“乎”、“者”、“也”组成,它们出现的次数分别为 。那么,“也”字的编码长度可能是( )。{{ multiselect(15) }}
- 生物特征识别,是利用人体本身的生物特征进行身份认证的一种技术。目前,指纹识别、虹膜识别、人脸识别等技术已广泛应用于政府、银行、安全防卫等领域。以下属于生物特征识别技术及其应用的是( )。{{ multiselect(16) }}
- 指静脉验证
- 步态验证
- ATM机密码验证
- 声音验证
- 对于序列 ,在不改变顺序的情况下,去掉( )会使逆序对的个数减少 。{{ multiselect(17) }}
- 计算机中的数值信息分为整数和实数(浮点数)。实数之所以能够表示很大或者很小的数,是由于使用了( )。{{ multiselect(18) }}
- 阶码
- 补码
- 反码
- 较长的尾数
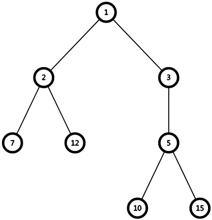
- 对下图使用 Dijkstra 算法计算 点到其余各点的最短路径长度时,到 点的距离 初始时赋为 ,在算法的执行过程中还会出现的值有( )。{{ multiselect(19) }}

- 为计算机网络中进行数据交换而建立的规则、标准或约定的集合称为网络协议。下列英文缩写中,( )是网络协议。{{ multiselect(20) }}
- HTTP
- TCP/IP
- FTP
- WWW
- 平面图可以在画在平面上,且它的边仅在顶点上才能相交的简单无向图。 个顶点的平面图至少有 条边,如下图所示。那么, 个顶点的平面图至少有 {{ input(21) }} 条边。

- 定义一种字符串操作,一次可以将其中一个元素移到任意位置。举例说明,对于字符串 可以将 移到 之前,变字符串 。如果要将字符串 变成 最少需要 {{ input(22) }} 次。
- 读程序写结果
#include<iostream>
#include<cstring>
using namespace std;
const int SIZE = 100;
int main()
{
int n,i,sum,x,a[SIZE];
cin>>n;
memset(a,0,sizeof(a));
for(i=1;i<=n;i++){
cin>>x;
a[x]++;
}
i=0;
sum=0;
while(sum<(n/2+1)){
i++;
sum+=a[i];
}
cout<<i<<endl;
return 0;
}
输入:
11
4 5 6 6 4 3 3 2 3 2 1
输出:{{ input(23) }}
- 读程序写结果
#include<iostream>
using namespace std;
int n;
void f2(int x,int y);
void f1(int x,int y)
{
if(x<n)
f2(y,x+y);
}
void f2(int x,int y)
{
cout<<x<<' ';
f1(y,x+y);
}
int main()
{
cin>>n;
f1(0,1);
return 0;
return 0;
}
输入:30
输出:{{ input(24) }}
- 读程序写结果
#include<iostream>
using namespace std;
const int V=100;
int n,m,ans,e[V][V];
bool visited[V];
void dfs(int x,int len)
{
int i;
visited[x]= true;
if(len>ans)
ans=len;
for(i=1;i<=n;i++)
if( (!visited[i]) && (e[x][i]!=-1) )
dfs(i,len+e[x][i]);
visited[x]=false;
}
int main()
{
int i,j,a,b,c;
cin>>n>>m;
for(i=1;i<=n;i++)
for(j=1;j<=m;j++)
e[i][j]=-1;
for(i=1;i<=m;i++)
{
cin>>a>>b>>c;
e[a][b]=c;
e[b][a]=c;
}
for(i=1;i<=n;i++)
visited[i]=false;
ans=0;
for(i=1;i<=n;i++)
dfs(i,0);
cout<<ans<<endl;
return 0;
}
输入:
4 6
1 2 10
2 3 20
3 4 30
4 1 40
1 3 50
2 4 60
输出:{{ input(25) }}
- 读程序写结果
#include<iostream>
#include<cstring>
#include<string>
using namespace std;
const int SIZE=10000;
const int LENGTH=10;
int n,m,a[SIZE][LENGTH];
int h(int u,int v)
{
int ans,i;
ans=0;
for(i=1;i<=n;i++)
if( a[u][i]!=a[v][i])
ans++;
return ans;
}
int main()
{
int sum,i,j;
cin>>n;
memset(a,0,sizeof(a));
m=1;
while(1)
{
i=1;
while( (i<=n) && (a[m][i]==1) )
i++;
if(i>n)
break;
m++;
a[m][i]=1;
for(j=i+1;j<=n;j++)
a[m][j]=a[m-1][j];
}
sum=0;
for(i=1;i<=m;i++)
for(j=1;j<=m;j++)
sum+=h(i,j);
cout<<sum<<endl;
return 0;
}
输入:7
输出:{{ input(26) }}
- 完善程序
大整数开方:输入一个正整数 ,试用二分法计算它的平方根的整数部分。
#include<iostream>
#include<string>
using namespace std;
const int SIZE=200;
struct hugeint{
int len,num[SIZE];
};
//其中len表示大整数的位数;num[1]表示个位,num[2]表示十位,以此类推
hugeint times(hugeint a,hugeint b)
// 计算大整数a和b的乘积
{
int i,j;
hugeint ans;
memset(ans.num,0,sizeof(ans.num));
for(i=1;i<=a.len;i++)
for(j=1;j<=b.len;j++)
① +=a.num[i]*b.num[j];
for(i=1;i<=a.len+b.len;i++){
ans.num[i+1]+=ans.num[i]/10;
② ;
}
if(ans.num[a.len+b.len]>0)
ans.len=a.len+b.len;
else
ans.len=a.len+b.len-1;
return ans;
}
hugeint add(hugeint a,hugeint b)
//计算大整数a和b 的和
{
int i;
hugeint ans;
memset(ans.num,0,sizeof(ans.num));
if(a.len>b.len)
ans.len=a.len;
else
ans.len=b.len;
for(i=1;i<=ans.len;i++){
ans.num[i]+= ③ ;
ans.num[i+1]+= ans.num[i]/10;
ans.num[i]%=10;
}
if(ans.num[ans.len+1]>0)
ans.len++;
return ans;
}
hugeint average(hugeint a,hugeint b)
//计算大整数a和b的平均数的整数部分
{
int i;
hugeint ans;
ans=add(a,b);
for(i=ans.len;i>=2;i--){
ans.num[i-1]+=( ④ )*10;
ans.num[i]/=2;
}
ans.num[1]/=2;
if(ans.num[ans.len]==0)
ans.len--;
return ans;
}
hugeint plustwo(hugeint a)
// 计算大整数a加2之后的结果
{
int i;
hugeint ans;
ans=a;
ans.num[1]+=2;
i=1;
while( (i<=ans.len)&&(ans.num[i]>=10) ){
ans.num[i+1]+=ans.num[i]/10;
ans.num[i]%=10;
i++;
}
if(ans.num[ans.len+1]>0)
⑤ ;
return ans;
}
bool over(hugeint a,hugeint b)
// 若大整数a>b则返回true,否则返回false
{
int i;
if( ⑥ )
return false;
if( a.len>b.len )
return true;
for(i=a.len;i>=1;i--){
if(a.num[i]<b.num[i])
return false;
if(a.num[i]>b.num[i])
return true;
}
return false;
}
int main()
{
string s;
int i;
hugeint target,left,middle,right;
cin>>s;
memset(target.num,0,sizeof(target.num));
target.len=s.length();
for(i=1;i<=target.len;i++)
target.num[i]=s[target.len-i]- ⑦ ;
memset(left.num,0,sizeof(left.num));
left.len=1;
left.num[1]=1;
right=target;
do{
middle=average(left,right);
if(over( ⑧ ))
right=middle;
else
left=middle;
}while(!over(plustwo(left),right) );
for(i=left.len;i>=1;i--)
cout<<left.num[i];
return 0;
}
①填 {{ input(27) }}
②填 {{ input(28) }}
③填 {{ input(29) }}
④填 {{ input(30) }}
⑤填 {{ input(31) }}
⑥填 {{ input(32) }}
⑦填 {{ input(33) }}
⑧填 {{ input(34) }}
- 完善程序
笛卡尔树:对于一个给定的两两不等的正整数序列,笛卡尔树是这样的一棵二叉树:首先,它是一个最小堆,即除了根结点,每个节点的权值都大于父节点的权值;其次,它的中序遍历恰好就是给定的序列。例如,对于序列 ,下图就是一棵对应的笛卡尔树。现输入序列的规模 和序列的 n 个元素,试求其对应的笛卡尔树的深度 (根节点深度为 ),以及有多少个叶子节点的深度为 。

#include<iostream>
using namespace std;
const int SIZE=100+5;
const int INFINITY=1000000;
int n,a[SIZE],maxDeep,num;
void solve(int left,int right,int deep)
{
int i,j,min;
if(deep>maxDeep){
maxDeep=deep;
num=1;
}
else if(deep==maxDeep)
①;
min= INFINITY;
for(i=left;i<=right;i++)
if(min>a[i]){
min=a[i];
②;
}
if(left<j)
③;
if(j<right)
④;
}
int main()
{
int i;
cin>>n;
for(i=1;i<=n;i++)
cin>>a[i];
maxDeep=0;
solve(1,n,1);
cout<<maxDeep<<' '<<num<<endl;
return 0;
}
①填 {{ input(35) }}
②填 {{ input(36) }}
③填 {{ input(37) }}
④填 {{ input(38) }}